machinelearningforbeginner’s blog
machinelearningforbeginner’s blog
読者になる

machinelearningforbeginner’s blog

2021-01-31から1日間の記事一覧

2021-01-31

回帰分析~リッジ回帰~

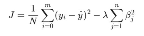
こんにちは!EMです^^ 今回はリッジ回帰について取り上げたいと思います。 リッジ回帰とは、大きな係数を防ぐために正則化を実装します。 リッジ回帰のコスト関数は次のとおりです。 また変な記号がでてきましたね。 λ(Lambda)というのは正則化の項です。 …

はてなブックマーク - 回帰分析~リッジ回帰~
プロフィール
id:tennisfashionista id:tennisfashionista
読者です 読者をやめる 読者になる 読者になる
このブログについて
検索
リンク
  • はてなブログ
  • ブログをはじめる
  • 週刊はてなブログ
  • はてなブログPro
最新記事
  • adidas tennisのエコ商品が人気…?!
  • 【初心者の方向け】RNNを使った小売業の売り上げ予測
  • 【就活・転職】ビジネスアナリストに求められるものとは~lululemon athletica~
  • 【UX】スマホ版アプリのUXをかんがえる
  • 【Jira】タスク管理ツール
月別アーカイブ
  • ▼ ▶
    2021
    • 2021 / 11
    • 2021 / 6
    • 2021 / 4
    • 2021 / 3
    • 2021 / 2
    • 2021 / 1
  • ▼ ▶
    2020
    • 2020 / 12
    • 2020 / 11
    • 2020 / 10
machinelearningforbeginner’s blog machinelearningforbeginner’s blog

Powered by Hatena Blog | ブログを報告する

引用をストックしました

引用するにはまずログインしてください

引用をストックできませんでした。再度お試しください

限定公開記事のため引用できません。

読者です 読者をやめる 読者になる 読者になる